Format Laporan Penerapan Spm - 31 Full PDFs related to this paper. 3 Gubernur menyampaikan ringkasan laporan teknis tahunan hasil penerapan dan pencapaian kinerja SPM Bidang Pekerjaan Umum dan Penataan Ruang Daerah KabupatenKota di wilayahnya kepada Menteri dan Menteri Dalam Negeri. Download Full PDF Package.
Format laporan penerapan spm. Laporan Tahunan Standar Pelayanan Minimal SPM ini disusun berdasarkan Peraturan Menteri Dalam Negeri Nomor 6 Tahun 2007 tentang Penyusunan Laporan Umum Tahunan Penerapan dan Pencapaian SPM Pemerintah Daerah Propinsi dan KabupatenKota serta bertujuan untuk mengevaluasi pelaksanaan. LAPORAN STANDAR PELAYANAN MINIMAL Khusus bagi Pemerintah Provinsi Laporan laporan penyelenggaraan Pemerintahan Daerah harus mencantumkan rekapitulasi penerapan Standar Pelayanan Minimal Daerah KabupatenKota. Laporan Akhir Kajian Direktorat Otonomi Daerah Tahun 2012 II - 1 21 Konsep Dan Latar Belakang Penerapan Standar Pelayanan Minimal SPM Sejak dikeluarkannya UU No. Tata Kelola Penerapan Standar Pelayanan Minimal SPM Bidang Kesehatan untuk KabupatenKota.
Lampiran Format Spm From id.scribd.com
Contoh format laporan SPM. Posting Komentar untuk Contoh Format Laporan Penerapan Standar Pelayanan Minimal Desa SPM KotaKabupaten Download Juknis BOS Terbaru Tahun Ajaran 20202021 Jenjang SD SMP SMASMK Contoh Laporan Supervisi Akademik Oleh Kepala SekolahMadrasah Terhadap Guru Terbaru. FORMAT LAPORAN PELAKSANAAN PENERAPAN STANDAR PELAYANAN MINIMAL KATA PENGANTAR DAFTAR ISI BAB I PENDAHULUAN A. Laporan Akhir Kajian Direktorat Otonomi Daerah Tahun 2012 II - 1 21 Konsep Dan Latar Belakang Penerapan Standar Pelayanan Minimal SPM Sejak dikeluarkannya UU No. LAPORAN STANDAR PELAYANAN MINIMAL Khusus bagi Pemerintah Provinsi Laporan laporan penyelenggaraan Pemerintahan Daerah harus mencantumkan rekapitulasi penerapan Standar Pelayanan Minimal Daerah KabupatenKota. Dalam membuat karangan berbentuk laporan kamu hendaklah menggunakan butir-butir yang munasabah atau lojik.
Pemerintah Daerah menyampaikan laporan Penerapan SPM paling lambat 3 tiga bulan setelah tahun anggaran berakhir.
Posting Komentar untuk Contoh Format Laporan Penerapan Standar Pelayanan Minimal Desa SPM KotaKabupaten Download Juknis BOS Terbaru Tahun Ajaran 20202021 Jenjang SD SMP SMASMK Contoh Laporan Supervisi Akademik Oleh Kepala SekolahMadrasah Terhadap Guru Terbaru. Indikator capaian SPM bidang pendidikan dasar KabupatenKota Peraturan Pemerintah sebelumnya Nomor 65 Tahun 2005 tentang Pedoman Penyusunan dan Penerapan. 1 KATA PENGANTAR Puji syukur kami panjatkan kehadirat Allah SWT atas rahmat dan hidayah-Nya sehingga Laporan Penerapan dan Pencapaian Standar Pelayanan Minimal SPM Tahun 2013 Dinas Kependudukan dan Pencatatan Sipil Kota Banda Aceh dapat terselesaikan penyusunannya. LAPORAN STANDAR PELAYANAN MINIMAL Khusus bagi Pemerintah Provinsi Laporan laporan penyelenggaraan Pemerintahan Daerah harus mencantumkan rekapitulasi penerapan Standar Pelayanan Minimal Daerah KabupatenKota. Tata Kelola Penerapan Standar Pelayanan Minimal SPM Bidang Kesehatan untuk KabupatenKota. Terjaminnya hak masyarakat untuk menerima suatu pelayanan dasar dari pemerintahan daerah dengan mutu tertentu.
Source: id.scribd.com
FORMAT LAPORAN PELAKSANAAN PENERAPAN STANDAR PELAYANAN MINIMAL KATA PENGANTAR DAFTAR ISI BAB I PENDAHULUAN A. LAPORAN STANDAR PELAYANAN MINIMAL Khusus bagi Pemerintah Provinsi Laporan laporan penyelenggaraan Pemerintahan Daerah harus mencantumkan rekapitulasi penerapan Standar Pelayanan Minimal Daerah KabupatenKota. Setiap guru menyampaikan laporan hasil evaluasi mata pelajaran serta hasil penilaian setiap peserta didik kepada Kepala sekolah pada akhir semester dalam bentuk laporan hasil presentasi. 1 KATA PENGANTAR Puji syukur kami panjatkan kehadirat Allah SWT atas rahmat dan hidayah-Nya sehingga Laporan Penerapan dan Pencapaian Standar Pelayanan Minimal SPM Tahun 2013 Dinas Kependudukan dan Pencatatan Sipil Kota Banda Aceh dapat terselesaikan penyusunannya. Karunia-Nya sehingga Laporan Standar Pelayanan Minimal SPM Provinsi Kalimantan Barat Tahun 2017 dapat diselesaikan sesuai ketentuan yang berlaku.
Source:
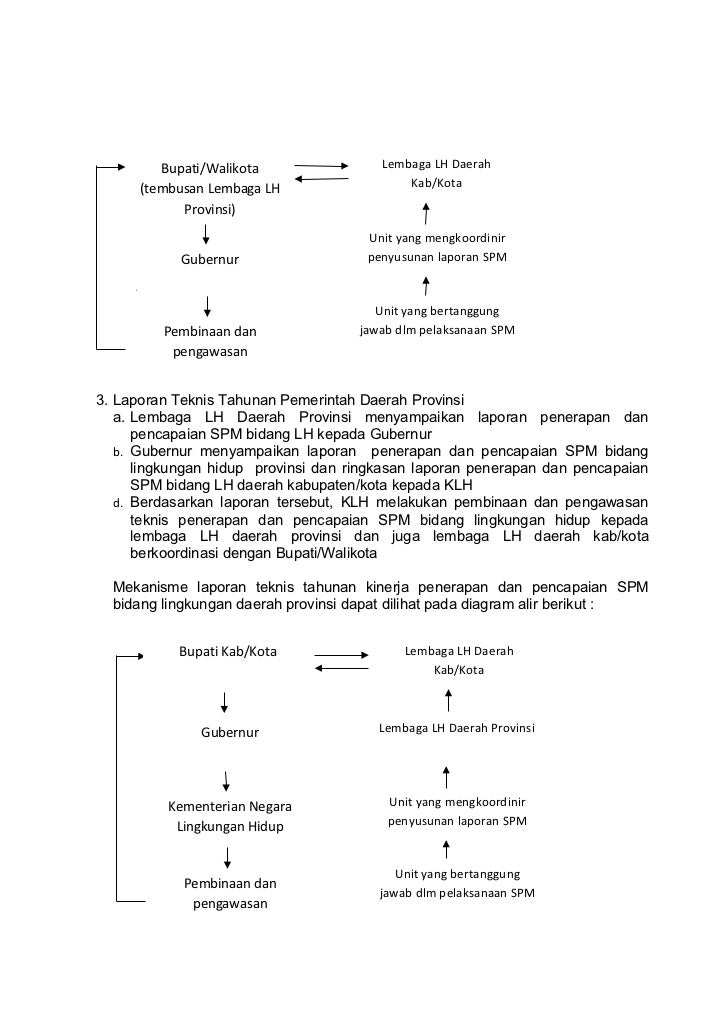
Bab I Laporan Penerapan Standar Pelayanan Minimal Provinsi Kalimantan Selatan 2013 I2 Berdasarkan hal tersebut di atas serta untuk melaksanakan amanat Undang-Undang Nomor 32 Tahun 2004 pasal 11 ayat 4 dan pasal 14 ayat 3 serta permintaan Pemerintah Pusat dalam Percepatan Penerapan SPM di daerah maka Pemerintah. Pencapaia Rencana Penanggung N Jenis Indikator Standar n Pencapaian tahun. Pasal 17 Format laporan teknis. Laporan Umum Tahunan Penerapan dan Pencapaian Standar Pelayanan Minimal SPM Bidang Pekerjaan Umum dan Penataan Ruang serta Bidang Perumahan Rakyat Dinas Tata Ruang dan Permukiman Kabupaten Purwakarta Tahun 2018 - 2 - Percepatan Pelaksanaan Penerapan dan Pencapaian Standar Pelayanan Minimal SPM di Daerah bahwa Pemerintah. LAPORAN STANDAR PELAYANAN MINIMAL Khusus bagi Pemerintah Provinsi Laporan laporan penyelenggaraan Pemerintahan Daerah harus mencantumkan rekapitulasi penerapan Standar Pelayanan Minimal Daerah KabupatenKota.
Source: slideshare.net
Karunia-Nya sehingga Laporan Standar Pelayanan Minimal SPM Provinsi Kalimantan Barat Tahun 2017 dapat diselesaikan sesuai ketentuan yang berlaku. Format SPM Format SPM Puskesmas UKP dan UKM dibuat tabel masing masing Contoh. Laporan Umum Tahunan Penerapan dan Pencapaian Standar Pelayanan Minimal SPM Bidang Pekerjaan Umum dan Penataan Ruang serta Bidang Perumahan Rakyat Dinas Tata Ruang dan Permukiman Kabupaten Purwakarta Tahun 2018 - 2 - Percepatan Pelaksanaan Penerapan dan Pencapaian Standar Pelayanan Minimal SPM di Daerah bahwa Pemerintah. Pada Maret T ahun 2011 mengenai Percepatan Penerapan SPM di Daerah berjumlah 13 SPM yaitu. Menjadi alat untuk menentukan jumlah anggaran yang dibutuhkan untuk.
Source:
Dalam membuat karangan berbentuk laporan kamu hendaklah menggunakan butir-butir yang munasabah atau lojik. Laporan Umum Tahunan Penerapan dan Pencapaian Standar Pelayanan Minimal SPM Bidang Pekerjaan Umum dan Penataan Ruang serta Bidang Perumahan Rakyat Dinas Tata Ruang dan Permukiman Kabupaten Purwakarta Tahun 2018 - 2 - Percepatan Pelaksanaan Penerapan dan Pencapaian Standar Pelayanan Minimal SPM di Daerah bahwa Pemerintah. Terjaminnya hak masyarakat untuk menerima suatu pelayanan dasar dari pemerintahan daerah dengan mutu tertentu. Kamu perlu memastikan jenis laporan sama ada laporan aktiviti persatuan perayaan sambutan perasmian atau. Posting Komentar untuk Contoh Format Laporan Penerapan Standar Pelayanan Minimal Desa SPM KotaKabupaten Download Juknis BOS Terbaru Tahun Ajaran 20202021 Jenjang SD SMP SMASMK Contoh Laporan Supervisi Akademik Oleh Kepala SekolahMadrasah Terhadap Guru Terbaru.
Source: tatalaksanakalsel.wordpress.com
Laporan Tahunan Standar Pelayanan Minimal SPM ini disusun berdasarkan Peraturan Menteri Dalam Negeri Nomor 6 Tahun 2007 tentang Penyusunan Laporan Umum Tahunan Penerapan dan Pencapaian SPM Pemerintah Daerah Propinsi dan KabupatenKota serta bertujuan untuk mengevaluasi pelaksanaan. Penekanan SPM bidang kesehatan berfokus pada pelayanan promotif dan preventif sementara program JKN berfokus pada pelayanan kuratif dan rehabilitatif. Laporan penerapan dan pencapaian SPM KabKota. LAPORAN STANDAR PELAYANAN MINIMAL Khusus bagi Pemerintah Provinsi Laporan laporan penyelenggaraan Pemerintahan Daerah harus mencantumkan rekapitulasi penerapan Standar Pelayanan Minimal Daerah KabupatenKota. Laporan Pelaksanaan Penerapan Standar Pelayanan Minimal SPM Dinas Sosial Pemberdayaan Perempuan dan Perlindungan Anak Kota Madiun Tahun 2018 a.
Source: slideshare.net
Laporan Penerapan dan Pencapaian Standar Pelayanan Minimal SPM Bidang Lingkungan Hidup Semester II kedua Tahun Anggaran 2015 dapat dilaksanakan dan disusun dengan baik. Laporan Pelaksanaan Penerapan Standar Pelayanan Minimal SPM Dinas Sosial Pemberdayaan Perempuan dan Perlindungan Anak Kota Madiun Tahun 2018 a. Laporan Umum Tahunan Penerapan dan Pencapaian Standar Pelayanan Minimal SPM Bidang Pekerjaan Umum dan Penataan Ruang serta Bidang Perumahan Rakyat Dinas Tata Ruang dan Permukiman Kabupaten Purwakarta Tahun 2018 - 2 - Percepatan Pelaksanaan Penerapan dan Pencapaian Standar Pelayanan Minimal SPM di Daerah bahwa Pemerintah. Laporan penerapan dan pencapaian SPM KabKota. 31 Full PDFs related to this paper.
Source:
Laporan ini merupakan rekapitulasi informasi hasil pelaksanaan penerapan SPM di Provinsi Kalimantan Barat yang disusun dari laporan hasil pelaksanaan penerapan SPM oleh. LATAR BELAKANG Latar belakang memuat hal-hal yang berkaitan dengan alasan atau dasar pertimbangan mengapa pemerintahan daerah memutuskan untuk menerapkan SPM selain karena perintah peraturan perundang-undangan. Karunia-Nya sehingga Laporan Standar Pelayanan Minimal SPM Provinsi Kalimantan Barat Tahun 2017 dapat diselesaikan sesuai ketentuan yang berlaku. Laporan Tahunan Standar Pelayanan Minimal SPM ini disusun berdasarkan Peraturan Menteri Dalam Negeri Nomor 6 Tahun 2007 tentang Penyusunan Laporan Umum Tahunan Penerapan dan Pencapaian SPM Pemerintah Daerah Propinsi dan KabupatenKota serta bertujuan untuk mengevaluasi pelaksanaan. Penerapan dan pencapaian kinerja SPM Bidang Pekerjaan Umum dan Penataan Ruang kepada Gubernur.
Source: slideshare.net
Penekanan SPM bidang kesehatan berfokus pada pelayanan promotif dan preventif sementara program JKN berfokus pada pelayanan kuratif dan rehabilitatif. Dalam membuat karangan berbentuk laporan kamu hendaklah menggunakan butir-butir yang munasabah atau lojik. Laporan Penerapan dan Pencapaian Standar Pelayanan Minimal SPM Bidang Lingkungan Hidup Semester II kedua Tahun Anggaran 2015 dapat dilaksanakan dan disusun dengan baik. Penerapan dan pencapaian kinerja SPM Bidang Pekerjaan Umum dan Penataan Ruang kepada Gubernur. Laporan pencapaian SPM meliputi 2 dua hal yaitu pencapaian berbasis indikator dan standar yang telah ditetapkan dan pencapaian rencana penganggarannya melalui Laporan Kinerja BLUD.
Source: disdik.madiunkota.go.id
FORMAT LAPORAN PELAKSANAAN PENERAPAN STANDAR PELAYANAN MINIMAL KATA PENGANTAR DAFTAR ISI BAB I PENDAHULUAN A. Laporan Penerapan dan Pencapaian Standar Pelayanan Minimal SPM Bidang Lingkungan Hidup Semester II kedua Tahun Anggaran 2015 dapat dilaksanakan dan disusun dengan baik. PERAN KABKOTA DALAM SPM PERMENDAGRI 1002018 Menyediakan barangjasa dan sarana prasarana sesuai dengan standar teknis SPM Kerjasama antar daerah dalam pemenuhan pelayanan dasar sesuai ketentuan PUU PELAKSANAAN PEMENUHAN 1 2 3 4. Penekanan SPM bidang kesehatan berfokus pada pelayanan promotif dan preventif sementara program JKN berfokus pada pelayanan kuratif dan rehabilitatif. 31 Full PDFs related to this paper.
Source: slideshare.net
LATAR BELAKANG Latar belakang memuat hal-hal yang berkaitan dengan alasan atau dasar pertimbangan mengapa pemerintahan daerah memutuskan untuk menerapkan SPM selain karena perintah peraturan perundang-undangan. PERAN KABKOTA DALAM SPM PERMENDAGRI 1002018 Menyediakan barangjasa dan sarana prasarana sesuai dengan standar teknis SPM Kerjasama antar daerah dalam pemenuhan pelayanan dasar sesuai ketentuan PUU PELAKSANAAN PEMENUHAN 1 2 3 4. 3 Gubernur menyampaikan ringkasan laporan teknis tahunan hasil penerapan dan pencapaian kinerja SPM Bidang Pekerjaan Umum dan Penataan Ruang Daerah KabupatenKota di wilayahnya kepada Menteri dan Menteri Dalam Negeri. Dalam membuat karangan berbentuk laporan kamu hendaklah menggunakan butir-butir yang munasabah atau lojik. 1 KATA PENGANTAR Puji syukur kami panjatkan kehadirat Allah SWT atas rahmat dan hidayah-Nya sehingga Laporan Penerapan dan Pencapaian Standar Pelayanan Minimal SPM Tahun 2013 Dinas Kependudukan dan Pencatatan Sipil Kota Banda Aceh dapat terselesaikan penyusunannya.
Source: slideshare.net
1 KATA PENGANTAR Puji syukur kami panjatkan kehadirat Allah SWT atas rahmat dan hidayah-Nya sehingga Laporan Penerapan dan Pencapaian Standar Pelayanan Minimal SPM Tahun 2013 Dinas Kependudukan dan Pencatatan Sipil Kota Banda Aceh dapat terselesaikan penyusunannya. 1 KATA PENGANTAR Puji syukur kami panjatkan kehadirat Allah SWT atas rahmat dan hidayah-Nya sehingga Laporan Penerapan dan Pencapaian Standar Pelayanan Minimal SPM Tahun 2013 Dinas Kependudukan dan Pencatatan Sipil Kota Banda Aceh dapat terselesaikan penyusunannya. LAPORAN STANDAR PELAYANAN MINIMAL Khusus bagi Pemerintah Provinsi Laporan laporan penyelenggaraan Pemerintahan Daerah harus mencantumkan rekapitulasi penerapan Standar Pelayanan Minimal Daerah KabupatenKota. Contoh format laporan SPM. Laporan Akhir Kajian Direktorat Otonomi Daerah Tahun 2012 II - 1 21 Konsep Dan Latar Belakang Penerapan Standar Pelayanan Minimal SPM Sejak dikeluarkannya UU No.
Source:
1 Peraturan Menteri Perumahan Rakyat Nomor 22 T ahun 2008 tentang SPM Bidang Perumahan. Laporan Penerapan dan Pencapaian Standar Pelayanan Minimal SPM Bidang Lingkungan Hidup Semester II kedua Tahun Anggaran 2015 dapat dilaksanakan dan disusun dengan baik. Format SPM Format SPM Puskesmas UKP dan UKM dibuat tabel masing masing Contoh. FORMAT KARANGAN JENIS LAPORAN Karangan jenis ini menghendaki anda melaporkan sesuatu peristiwa yang didengar atau dilihat. Penekanan SPM bidang kesehatan berfokus pada pelayanan promotif dan preventif sementara program JKN berfokus pada pelayanan kuratif dan rehabilitatif.
Source:
Pada Maret T ahun 2011 mengenai Percepatan Penerapan SPM di Daerah berjumlah 13 SPM yaitu. Dalam membuat karangan berbentuk laporan kamu hendaklah menggunakan butir-butir yang munasabah atau lojik. Terjaminnya hak masyarakat untuk menerima suatu pelayanan dasar dari pemerintahan daerah dengan mutu tertentu. Laporan Umum Tahunan Penerapan dan Pencapaian Standar Pelayanan Minimal SPM Bidang Pekerjaan Umum dan Penataan Ruang serta Bidang Perumahan Rakyat Dinas Tata Ruang dan Permukiman Kabupaten Purwakarta Tahun 2018 - 2 - Percepatan Pelaksanaan Penerapan dan Pencapaian Standar Pelayanan Minimal SPM di Daerah bahwa Pemerintah. Download Full PDF Package.
Source: slideshare.net
Laporan Umum Tahunan Penerapan dan Pencapaian Standar Pelayanan Minimal SPM Bidang Pekerjaan Umum dan Penataan Ruang serta Bidang Perumahan Rakyat Dinas Tata Ruang dan Permukiman Kabupaten Purwakarta Tahun 2018 - 2 - Percepatan Pelaksanaan Penerapan dan Pencapaian Standar Pelayanan Minimal SPM di Daerah bahwa Pemerintah. LATAR BELAKANG Latar belakang memuat hal-hal yang berkaitan dengan alasan atau dasar pertimbangan mengapa pemerintahan daerah memutuskan untuk menerapkan SPM selain karena perintah peraturan perundang-undangan. Posting Komentar untuk Contoh Format Laporan Penerapan Standar Pelayanan Minimal Desa SPM KotaKabupaten Download Juknis BOS Terbaru Tahun Ajaran 20202021 Jenjang SD SMP SMASMK Contoh Laporan Supervisi Akademik Oleh Kepala SekolahMadrasah Terhadap Guru Terbaru. Penerapan SPM bidang kesehatan tidak dapat terpisah dengan penyelenggaraan program Jaminan Kesehatan Nasional JKN karena sifat saling melengkapi dan sinergisme. LAPORAN STANDAR PELAYANAN MINIMAL Khusus bagi Pemerintah Provinsi Laporan laporan penyelenggaraan Pemerintahan Daerah harus mencantumkan rekapitulasi penerapan Standar Pelayanan Minimal Daerah KabupatenKota.
Source:
Bab I Laporan Penerapan Standar Pelayanan Minimal Provinsi Kalimantan Selatan 2013 I2 Berdasarkan hal tersebut di atas serta untuk melaksanakan amanat Undang-Undang Nomor 32 Tahun 2004 pasal 11 ayat 4 dan pasal 14 ayat 3 serta permintaan Pemerintah Pusat dalam Percepatan Penerapan SPM di daerah maka Pemerintah. Laporan Pelaksanaan Penerapan Standar Pelayanan Minimal SPM Dinas Sosial Pemberdayaan Perempuan dan Perlindungan Anak Kota Madiun Tahun 2018 a. FORMAT KARANGAN JENIS LAPORAN Karangan jenis ini menghendaki anda melaporkan sesuatu peristiwa yang didengar atau dilihat. Tata Kelola Penerapan Standar Pelayanan Minimal SPM Bidang Kesehatan untuk KabupatenKota. Contoh format laporan SPM.
Source:
LATAR BELAKANG Latar belakang memuat hal-hal yang berkaitan dengan alasan atau dasar pertimbangan mengapa pemerintahan daerah memutuskan untuk menerapkan SPM selain karena perintah peraturan perundang-undangan. Pencapaia Rencana Penanggung N Jenis Indikator Standar n Pencapaian tahun. Format SPM Format SPM Puskesmas UKP dan UKM dibuat tabel masing masing Contoh. Dalam membuat karangan berbentuk laporan kamu hendaklah menggunakan butir-butir yang munasabah atau lojik. Laporan Pelaksanaan Penerapan Standar Pelayanan Minimal SPM Dinas Sosial Pemberdayaan Perempuan dan Perlindungan Anak Kota Madiun Tahun 2018 a.
Source: pemerintah.net
Laporan Akhir Kajian Direktorat Otonomi Daerah Tahun 2012 II - 1 21 Konsep Dan Latar Belakang Penerapan Standar Pelayanan Minimal SPM Sejak dikeluarkannya UU No. Download Full PDF Package. Setiap guru menyampaikan laporan hasil evaluasi mata pelajaran serta hasil penilaian setiap peserta didik kepada Kepala sekolah pada akhir semester dalam bentuk laporan hasil presentasi. Penerapan SPM bidang kesehatan tidak dapat terpisah dengan penyelenggaraan program Jaminan Kesehatan Nasional JKN karena sifat saling melengkapi dan sinergisme. Laporan Penerapan dan Pencapaian Standar Pelayanan Minimal SPM Bidang Lingkungan Hidup Semester II kedua Tahun Anggaran 2015 dapat dilaksanakan dan disusun dengan baik.
Source: id.scribd.com
1 KATA PENGANTAR Puji syukur kami panjatkan kehadirat Allah SWT atas rahmat dan hidayah-Nya sehingga Laporan Penerapan dan Pencapaian Standar Pelayanan Minimal SPM Tahun 2013 Dinas Kependudukan dan Pencatatan Sipil Kota Banda Aceh dapat terselesaikan penyusunannya. 31 Full PDFs related to this paper. Laporan penerapan dan pencapaian SPM KabKota. Pada Maret T ahun 2011 mengenai Percepatan Penerapan SPM di Daerah berjumlah 13 SPM yaitu. Laporan Akhir Kajian Direktorat Otonomi Daerah Tahun 2012 II - 1 21 Konsep Dan Latar Belakang Penerapan Standar Pelayanan Minimal SPM Sejak dikeluarkannya UU No.
This site is an open community for users to do submittion their favorite wallpapers on the internet, all images or pictures in this website are for personal wallpaper use only, it is stricly prohibited to use this wallpaper for commercial purposes, if you are the author and find this image is shared without your permission, please kindly raise a DMCA report to Us.
If you find this site serviceableness, please support us by sharing this posts to your preference social media accounts like Facebook, Instagram and so on or you can also save this blog page with the title format laporan penerapan spm by using Ctrl + D for devices a laptop with a Windows operating system or Command + D for laptops with an Apple operating system. If you use a smartphone, you can also use the drawer menu of the browser you are using. Whether it’s a Windows, Mac, iOS or Android operating system, you will still be able to bookmark this website.


